Vorläufige Resultate der Forschungstätigkeit
Untersucht wurden im Projekt u. a. die folgenden Verhaltensweisen: Nestbau- und Mutter-Kind-Verhalten, Verhalten von unkastrierten Jungebern, Futtersuchverhalten und Suhlverhalten. Hier einige Auszüge aus den vorläufigen Ergebnissen:
Nestbau- und Mutter-Kind-Verhalten:
Das Nestbauverhalten war verschieden ausgeprägt. Das natürliche Absetzen fand nach 14-15 Wochen statt.
Im Gegensatz dazu werden Ferkel in der Schweineproduktion mit ca. 4 Wochen abgesetzt, im Biolandbau mit 6 Wochen.
Nestbau- und Mutter-Kind-Verhalten:
Das Nestbauverhalten war verschieden ausgeprägt. Das natürliche Absetzen fand nach 14-15 Wochen statt.
Im Gegensatz dazu werden Ferkel in der Schweineproduktion mit ca. 4 Wochen abgesetzt, im Biolandbau mit 6 Wochen.
Verhalten von Jungebern:
Verhalten von unkastrierten Jungebern: Männliche Jungtiere zeigten mehr Kopfschlagen, Beissen und Kämpfen, was vor allem zwischen männlichen Tieren ausgetragen wurde.
Grundsätzlich werden alle Eber kastriert zur Vermeidung des Ebergeruchs. Bei der Haltung von unkastrierten Ebern können Verletzungen durch Kämpfe auftreten.
Verhalten von unkastrierten Jungebern: Männliche Jungtiere zeigten mehr Kopfschlagen, Beissen und Kämpfen, was vor allem zwischen männlichen Tieren ausgetragen wurde.
Grundsätzlich werden alle Eber kastriert zur Vermeidung des Ebergeruchs. Bei der Haltung von unkastrierten Ebern können Verletzungen durch Kämpfe auftreten.
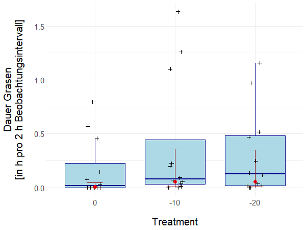
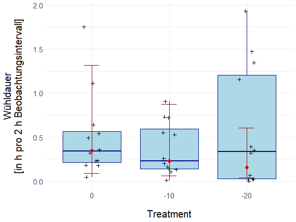
Futtersuchverhalten:
Das Futtersuchverhalten wie Wühlen und Grasen scheint zu einem wesentlichen Teil intrinsisch motiviert zu sein: Die Schweine zeigen dieses Verhalten unabhängig von der zugefütterten Futtermenge.
In der Schweineproduktion kann das Futtersuchverhalten i.d.R. kaum ausgelebt werden, da keine geeigneten Angebote wie Wühlareale, Weiden oder andere Materialien zur Verfügung gestellt werden.
Das Futtersuchverhalten wie Wühlen und Grasen scheint zu einem wesentlichen Teil intrinsisch motiviert zu sein: Die Schweine zeigen dieses Verhalten unabhängig von der zugefütterten Futtermenge.
In der Schweineproduktion kann das Futtersuchverhalten i.d.R. kaum ausgelebt werden, da keine geeigneten Angebote wie Wühlareale, Weiden oder andere Materialien zur Verfügung gestellt werden.
Suhlverhalten:
Suhlverhalten wurde bei älteren Schweinen und Sauen deutlich mehr beobachtet als bei jüngeren Tieren, was dem natürlichen Thermo-regulationsbedürfnis entspricht. Die Ferkel haben mit rund sieben Wochen angefangen, die Suhle zu nutzen. In den Wintermonaten wurde nicht gesuhlt.
Schweine können nicht schwitzen. Abkühlungsmöglichkeiten sind in der Schweineproduktion vorgeschrieben. Allerdings sind Suhlen oder Pools bisher nur auf wenigen Betrieben u.a. Freilandbetrieben vorhanden.
Suhlverhalten wurde bei älteren Schweinen und Sauen deutlich mehr beobachtet als bei jüngeren Tieren, was dem natürlichen Thermo-regulationsbedürfnis entspricht. Die Ferkel haben mit rund sieben Wochen angefangen, die Suhle zu nutzen. In den Wintermonaten wurde nicht gesuhlt.
Schweine können nicht schwitzen. Abkühlungsmöglichkeiten sind in der Schweineproduktion vorgeschrieben. Allerdings sind Suhlen oder Pools bisher nur auf wenigen Betrieben u.a. Freilandbetrieben vorhanden.